안녕하세요. 이번 포스팅에서는 일변량 정규분포를 확장한 이변량 정규분포 및 2가지의 다변량 분포를 소개하려고 합니다.
이변량 정규분포를 유도하기 위한 가정은 아래와 같습니다.
- 각 $x$에 대해서 $Y$의 분포는 정규분포를 따른다. ($X$의 분포는 정규분포 가정)
- 조건부 기댓값 $E[Y|x]$는 $x$의 선형 함수로 표현이 가능하다.
- 조건부 분산은 상수로 일정하다.
첫 번째 가정을 기호로 표현한다면 $Y|x \sim N$를 만족한다고 할 수 있으며
두번째 가정에 따라 조건부 기댓값은 $E[Y|x] = u_Y + \rho\frac{\sigma_Y}{\sigma_X}(x-u_X)$로 나타낼 수 있습니다. (참조 : https://moogie.tistory.com/105)
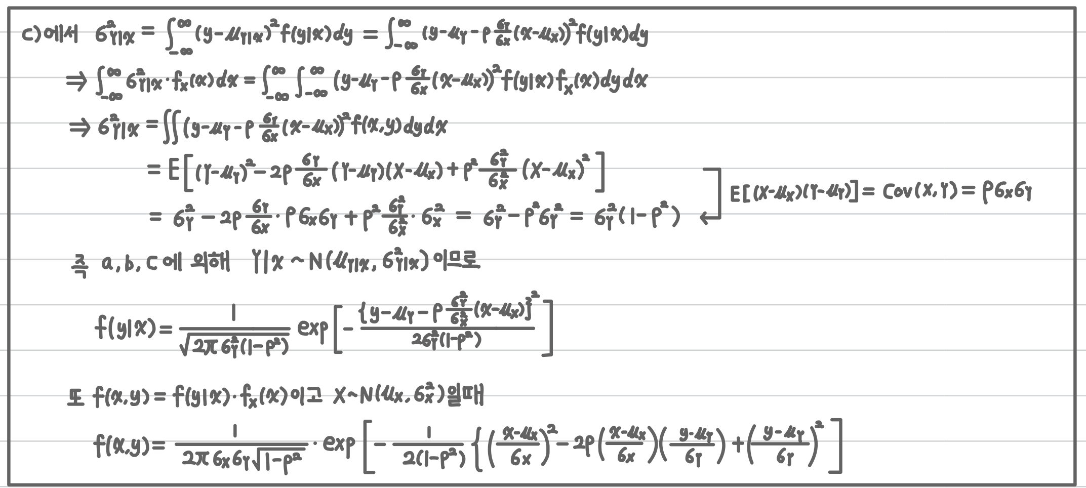
또한, 조건부 분산이 상수로 일정하다는 것은 $x$값에 따라 상관없이 $Y|x$의 분산의 값이 일정하다고 볼 수 있으므로 아래와 같이 이변량 정규분포의 확률분포를 유도 가능합니다.

- 두번째 줄은 첫번째 줄 양변에 $f_X(x)$를 곱해주고 적분해준것입니다. ($\sigma_{Y|X}^2$는 상수이므로 적분해도 그대로 나옴)
즉 이변량 정규분포는 아래와 같이 정리가 가능합니다.
- Joint PDF : $f(x,y) = \frac{1}{2\pi\sigma_X\sigma_Y\sqrt{1-\rho^2}}*Exp[-\frac{1}{2(1-\rho^2)}*\{(\frac{x-u_X}{\sigma_X})^2-2\rho(\frac{x-u_X}{\sigma_X})(\frac{y-u_Y}{\sigma_Y})+(\frac{y-u_Y}{\sigma_Y})^2\}]$
- Conditional PDF : $f(y|x) = \frac{1}{\sqrt{2\pi\sigma_Y^2(1-\rho^2)}}*Exp[-\frac{\{y-u_Y-\rho\frac{\sigma_Y}{\sigma_X}(x-u_X)\}^2}{2\sigma_Y^2(1-\rho^2)}]$
또한, 초기하분포와 이항분포를 다차원으로 확장했을 때의 분포는 아래와 같습니다.

'Statistics > Mathmetical Statistics' 카테고리의 다른 글
| [확률과 통계적 추론] 5-1.2 Change-of-variable Technique (2) | 2024.01.07 |
|---|---|
| [확률과 통계적 추론] 5-1.1 Distribution Function Technique (1) | 2024.01.07 |
| [확률과 통계적 추론] 4-4. 연속형 이변량 분포 (0) | 2024.01.04 |
| [확률과 통계적 추론] 4-3.1 조건부분포와 상관계수의 관계 (2) | 2024.01.03 |
| [확률과 통계적 추론] 4-3. 조건부 분포 (Conditional Distribution) (3) | 2024.01.03 |
